Limite
Lista de 08 exercícios de Matemática com gabarito sobre o tema Limite com questões de Vestibulares.
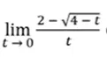
01. (EFOMM) Determine o valor do seguinte limite:

- 1.
- +∝.
- -∝.
- 0,5.
- zero.
Resposta: D
Resolução:
02. (EFOMM) Seja ƒ uma função real definida por

- 1/6
- 1/5
- 1/4
- 1/3
- 1/2
Resposta: E
Resolução:
03. (EFOMM) Sobre a função ƒ(x) = 1+x/x², analise as afirmativas:

Então, pode-se dizer que
- todas as afirmativas são verdadeiras.
- todas as afirmativas são falsas.
- somente as afirmativas I e II são verdadeiras.
- somente as afirmativas I e III são verdadeiras.
- somente as afirmativas II e III são verdadeiras.
Resposta: E
Resolução:
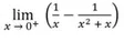
04. (EFOMM) O valor de limt→0

- 1
- 1/4
- 1/3
- 1/2
- 2
Resposta: B
Resolução:
05. (EFOMM) Sabendo-se que

- - π/4
- - π/2
- 3π/4
- π/4
- π/2
Resposta: D
Resolução:
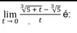
06. (EFOMM) O valor de limt→0

- 0
- 1/10
- 1/³√5²
- 1/3³√25
- ∞
Resposta: D
Resolução:
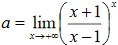
07. (EFOMM) O valor do lim

- -2
- -1
- 0
- 1
- 2
Resposta: D
Resolução:
08. (EFOMM) O valor do limite limt→0 (1-2x) 4/x é
- e-8
- e-4
- e2
- e4
- e8
Resposta: A
Resolução: