Matriz Transposta
Lista de 03 exercícios de Matemática com gabarito sobre o tema Matriz Transposta com questões de Vestibulares.
01. (Albert Einstein) Uma matriz quadrada se diz ortogonal se sua inversa é igual à sua transposta. Dada a matriz A = em que x ∈ C* a soma dos valores de x que a tornam uma matriz ortogonal é igual a
- 6 + 4i
- 6 – 4i
- 6
- 4
02. (PUC) Se A, B e C são matrizes quadradas e At, Bt e Ct são suas matrizes transpostas, e igualdade falsa entre essas matrizes é:
- (A = B) . C = A . C + B . C
- (A + B)t = At + Bt
- (A . B)t = At . Bt
- (A – B)C = AC – BC
- (At)t = A
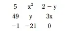
03. (UEL-PR) Sabendo-se que a matriz

é igual à sua transposta, o valor de x.2y é:
- -20
- -1
- 1
- 13
- 20